Copyright © 1995 by IEEE.
Personal use of this material is permitted. However, permission to reprint/republish this material for advertising or promotional purposes or for creating new collective works for resale or redistribution to servers or lists, or to reuse any copyrighted component of this work in other works must be obtained from the IEEE.
This article appears in IEEE Transactions on Software Engineering, vol. 21, no. 8 (August 1995), pp. 651-661.
Algorithms are presented for converting units of measurement from a given form to a desired form. The algorithms are fast, are able to convert any combination of units to any equivalent combination, and perform dimensional analysis to ensure that the conversion is legitimate. Algorithms are also presented for simplification of symbolic combinations of units. Application of these techniques to perform automatic unit conversion and unit checking in a programming language is described.
Index Terms -- unit conversion, unit of measurement, dimensional analysis, data type.
Although many programming languages are described as ``strongly typed'', in most languages the types of numeric quantities are described only in terms of the numeric representation (real, integer, etc.) but not in terms of the units of measurement (meters, feet, etc.) of the quantity represented by a variable. The assignment of a value represented in one unit to a variable that is assumed to be in a different unit is clearly an error, but such errors cannot be detected if the type system does not include units of measurement. Conversion of units must be done explicitly by the programmer; this can be both burdensome and error-prone, since the conversion factors used by the programmer might be entered incorrectly or might have limited accuracy. Failure to represent units explicitly within program code is a serious shortcoming in specification of the program, since later modification of the program might be performed under the assumption of the wrong units. Hundreds of units of measurement are in general use; entire books [ackley] [horvath] [rossini] [semioli] [wildi] are devoted to tables of unit conversions.
This paper presents methods for symbolic representation of units of measurement. Efficient algorithms are presented that can convert any combination of units to any equivalent combination, while verifying the legitimacy of the conversion by dimensional analysis. Algorithms are also presented for simplification of combinations of symbolic units. Applications of these techniques in programming languages and in data conversion are discussed.
[nist330] and [iso-standard] describe the Syst`eme International or International System of Units, abbreviated SI; these are the definitive references on SI. [ansi-ieee-268] provides style guidelines for use of SI units and tables of conversion factors.
Several books provide conversion factors and algorithms for use in unit conversion. The available books differ widely in the number of units covered, the accuracy of the conversion factors, and the algorithms that some books present for unit conversion. Although one might think that unit conversion is easy and ``everyone knows how to do it'', the number of books and the variety of methodologies and algorithms they present suggest otherwise.
Horvath [horvath] has an especially complete coverage of different units, as well as an extensive bibliography. The tables in this book give conversion factors from a given unit to a single SI unit; this is similar to the approach taken in the present paper, although Horvath does not present conversion algorithms per se.
Semioli and Schubert [semioli] present voluminous tables that combine multiplication of the conversion factor by the quantity of the source unit to be converted. They also present somewhat complex methods for obtaining additional accuracy and shifting the decimal place of the result. This book has the flavor of a book of logarithm tables, although it was published in 1974, when pocket calculators were available.
Wildi [wildi] presents a series of directed acyclic graphs; each node of a graph is a unit, and arcs between nodes are labeled with conversion factors. The nodes are ordered by size of the unit. In order to convert from one unit to another, the user traverses the graph from the source unit to the goal unit, multiplying together all the conversion factors encountered along the way (or dividing if moving against the directed graph arrows). Although this technique presents many conversions together in a compact structure, its use involves many steps and thus many opportunities for error and loss of accuracy.
Karr and Loveman [karr] outline a computational method for finding conversion factors. Their method involves writing dimensional quantities and conversion factors in terms of logarithms, making a matrix of the equations in logarithmic form, and solving the matrix by linear algebra. Since the size of the matrix is the number of units involved in the conversion multiplied by the number of units the system knows about, both the matrix and the time required to solve it could quickly become large.
Schulz [schulz] describes COMET, an APL program for converting measurements from the English system used in the U.S. to the metric system. COMET focuses on conversion of machine part specifications that include allowable tolerances.
Gruber and Olsen [gruber-olsen94] describe an ontology for engineering mathematics, including representation of units of measurement as an Abelian group. Their system can convert units, presumably by a process of logical deduction that would be significantly slower than the methods we describe.
Units of measurement are allowed in the ATLAS language [atlas], although ATLAS allows only a limited set of units and a limited language for constructing combinations of units.
Cunis [cunis92] describes Lisp programs for converting units. These programs combine units with numeric measurements at runtime and perform runtime conversion. While this is consistent with the Lisp tradition of runtime type checking, it does not allow detection of conversion errors at compile time. Gehani [gehani77] argues in favor of compile-time checking.
Hilfinger [hilfinger88] describes methods for including units with numeric data using Ada packages and discusses modifications of Ada compilers that would be required to make use of these packages efficient and allow compile-time checking of correctness of conversions.
Karr and Loveman [karr] propose incorporation of units into programming languages; they discuss methods of unit conversion, dimensional analysis, and language syntax issues. We believe that the unit conversion algorithms described in the present paper are simpler: our methods require only one scalar operation per unit for conversion and one scalar operation per unit for checking, whereas the methods of [karr] are based on manipulation of matrices that could be large.
Reusing an existing procedure may require that data be translated into the form expected by that procedure; we describe in [novak:tose92] some methods for semi-automatic data translation. If a procedure requires that its data be presented in particular units, then unit conversion may also be required. The unit conversion methods of this paper can be combined with the methods of [novak:tose92] to accomplish this.
Unit conversion may also be required in preparing data for transmission to a remote site over a network, or for use in a remote procedure call. IDL (Interface Description Language) [lamb87] allows exchange of large structured data, possibly including structure sharing, between separately written components of a large software system such as a compiler. Use of IDL requires that the user write precise specifications of the source and target data structures. Herlihy and Liskov [herlihy] describe a method for transmission of structured data over a network, with a possibly different data representation at the destination. Their method employs user-written procedures to encode and decode the data into transmissible representations.
We use the term simple unit to refer to any named unit for which an appropriate conversion factor and dimension (as described later) have been defined. Simple units include the base units of a system of measurement, such as meter and kilogram, named units such as horsepower that can be defined in terms of other units, and the SI prefixes such as nano that are used for scaling. Positive, nonzero numeric constants are also allowed as simple units. In addition, common abbreviations may be defined as synonyms for the actual units, e.g., kg is defined as a synonym for kilogram. (Treating abbreviations as synonyms, rather than giving them a conversion factor and dimension and treating them as units, avoids the possibility that slightly different numeric factors might be specified for the same unit under different names.)
A composite unit is a product or quotient of units, and a unit is either a simple unit or a composite unit. We represent units in Lisp syntax, so that composite units are written within parentheses, preceded by an operator that is * or /. Thus, the syntax of units is as follows:
| simple-unit | ::= | symbol number |
| unit | ::= | simple-unit composite-unit |
| composite-unit | ::= | (* unit_1 ... unit_n ) (/ unit_1 unit_2 ) |
We say that a unit is normalized if nested product and quotient terms have been removed as far as possible, so that the unit will be at most a quotient of two products. Clearly, any unit can be normalized; algorithms for simplification of units are described later.
| flat-unit | ::= | simple-unit (* simple-unit_1 ... simple-unit_n ) |
| normalized-unit | ::= | flat-unit (/ flat-unit_1 flat-unit_2 ) |
A single numeric conversion factor is associated with each simple unit. The conversion factor is the number by which a quantity expressed in that unit must be multiplied in order to be expressed in the equivalent unit in the standard system of units. We have chosen as our standard the SI (Syst`eme International d'Unit'es) system of units [nist330] [iso-standard] [abramowitz]; a different standard system could be chosen without affecting the algorithms described here. Thus, the conversion factor for meter is 1.0, while the conversion factor for foot is 0.3048 since 1 foot = 0.3048 meter. The conversion factor for a numeric constant is just the constant itself.
The conversion factor for a product or quotient of units is, respectively, the product or quotient of the factors for the component units. Based on these definitions, it is easy to define a recursive algorithm that computes the conversion factor for any unit, whether simple or composite. This algorithm is shown in pseudo-code form in Fig. 1. Assuming that the definitions of units are acyclic, the algorithm is guaranteed to terminate and requires time proportional to the size of the unit expression tree.
function factor (unit)
Fig. 1: Conversion Factor Algorithm
Our system provides facilities for defining named simple units with specified numeric conversion factors and for defining units in terms of previously defined units. Examples of unit definitions are shown in Fig. 2. In the first example, each unit is defined by its name, numeric conversion factor, and a list of synonyms. In the second example, the conversion factor is specified as an expression in terms of previously defined units.
(defsimpleunits 'length
'((meter 1.0 (m meters))
(foot 0.3048 (ft feet))
(angstrom 1.0e-10 (a angstroms))
(parsec 3.083e16 (parsecs)) ) )
(defderivedunits 'force
'((newton
(/ (* kilogram meter) (* second second))
(nt newtons))
(pound-force
(/ (* slug foot) (* second second))
(lbf)) ) )
(ounce-force
(/ pound-force 16)
()) ) )
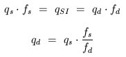
We now consider conversion from a source unit, unit_s, to a
desired unit, unit_d. Let q_s be the numeric quantity
expressed in the source unit, q_SI be the equivalent quantity
in the standard (SI) system, and q_d be the quantity in the
desired unit. Let f_s = factor(unit_s) be the conversion
factor of the source unit and f_d = factor(unit_d) be the
conversion factor of the desired unit. Then we have the equations:

Thus, conversion to a desired unit is accomplished by multiplying
the source quantity by a factor f, where

For example, to convert a measurement in terms of feet to
centimeters, the factor would be

Given the factor algorithm shown in Fig. 1 that
computes the factor for any simple or composite unit, it is easy to
convert any combination of units to any equivalent combination. Since
a number is also defined as a unit, a numeric quantity of a given unit
can also be converted. The convert function takes as arguments
the source unit and desired unit; it returns the conversion factor
f, or NIL if the conversion is undefined or incorrect.
>(convert 'foot 'centimeter)
30.48
>(convert 'meters 'feet)
3.280839895013123
>(convert '(/ pi 6) 'degrees)
30.000000000005663
>(convert '(/ (* atto parsec)
(* micro fortnight))
'(/ inch sec))
1.0034552972545099
>(convert '(* acre foot) 'tablespoons)
8.3419459476381853E7
>(convert '(/ (* mega pound-force) acre)
'kilopascals)
1.0991794990738932
>(convert 'kilograms 'meters)
NIL
The last example, an attempt to make an incorrect conversion from kilograms to meters, gives a result of NIL. Dimensional analysis, as described in the next section, is used to verify that a requested conversion is correct; if not, a result of NIL is returned rather than a numeric conversion factor.
There are certain conversions that, while not strictly correct, deserve a special note. The pound, for example, which is a unit of mass, is often used as the name of the force unit that is properly called pound-force. [The same confusion exists with other mass units such as the ounce and the kilogram.] Conversion of pounds to pounds-force involves an apparent conversion from mass to force. Similarly, in particle physics the mass of a particle is often described using energy units such as gigaelectronvolts (GeV). As described below, the dimensional analysis system can either perform strict dimensional checking and prohibit force-mass and energy-mass conversion, or it can be made to detect and allow these specific conversions, with strict checking otherwise. In the latter case, the following conversions are allowed:
>(convert 'pound-force 'kilogram) 0.45359236999358599 >(convert '(* 1.67e-27 kg) 'gev) 0.93680115236643324
The conversion from mass units to the corresponding force units requires multiplication by g, the conventional value for the acceleration of free fall at the earth's surface (sometimes called ``gravity''), while the conversion from mass units to energy units requires multiplication by the square of the speed of light. Each of these is a physical constant, expressed in SI units.
If the above algorithms are to produce meaningful results, it must be verified that the requested conversion is legitimate; it is clearly impossible, for example, to convert kilograms to meters. Correctness of unit conversion is verified by the long-established technique of dimensional analysis [bridgman]: the source and goal units must have the same dimensions.
Formally, we define a dimension as an 8-vector of integral powers of eight base quantities. The base quantities are shown in Fig. 3 together with the base unit that is used for each quantity in the SI system [nist330] [iso-standard]. We have added money, which is not part of the SI system, as a dimension.
| Index | Quantity | Unit |
| 0 | length | meter |
| 1 | time | second |
| 2 | temperature | kelvin |
| 3 | mass | kilogram |
| 4 | current | ampere |
| 5 | substance | mole |
| 6 | luminosity | candela |
| 7 | money | dollar |
Fig. 3: Base Quantities and Units
The dimension of a product of units is the vector sum of the dimensions of its components, while the dimension of a quotient of units is the vector difference of the dimensions of its components. It can be verified that conversion from one unit to another is legitimate by showing that the dimension vectors of the two units are equal, or equivalently, that their difference is a zero vector.
The powers of base quantities that are encountered in practice are usually small: they are seldom outside the range 4. While a dimension can be represented as a vector of eight integer values, with dimension checking done by operations on vectors, this is somewhat expensive computationally. Since the integers in the vector are small, it might be more efficient to pack them into bit fields within an integer word. In this section, we describe a variation of this packing technique. A dimension vector is encoded within a single 32-bit integer, which we call a dimension integer, using the algorithms presented below. Using this encoding, dimensions can be added, subtracted, or compared using ordinary scalar integer arithmetic.
It may be helpful to consider the analogy of doing vector arithmetic by encoding vectors as decimal integers. For example, the vector operation [1 2 3] + [2 2 4] = [3 4 7] can be simulated using decimal integers: 123 + 224 = 347 . This technique will work as long as it can be guaranteed that there will not be a ``carry'' from one column of the decimal integer to another. We use a similar method to encode a dimension vector as a 32-bit integer. A careful justification of the conditions under which use of the integer encoding is correct is presented following the algorithms. Finally, we argue that these conditions will be satisfied in practice, so that use of the integer encoding for dimension checking is justified.
We define two 8-vectors and an integer constant (shown in decimal notation) as follows:
dimsizes = [20 20 20 10 10 10 10 10]
dimvals = [1 20 400 8000 80000
800000 8000000 80000000]
dimbias = 444444210
We assume for purposes of this presentation that the 8-vectors are
indexed beginning with 0; the index into an 8-vector for each
kind of quantity corresponds to the Index column shown in Fig.
3. The vector dimsizes gives the size of the field
assigned to each quantity; e.g., dimsizes[0] is 20,
corresponding to a field size of 20 and an allowable value range
of 9 for the power of length. The vector
dimvals gives multipliers that can be used to move a vector
value to its proper field position; it is defined as follows:



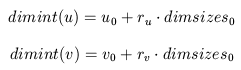
dimint( [ 1 -2 0 1 0 0 0 0 ] )
= (1 * 1) + (-2 * 20) + (0 * 400) + (1 * 8000)
= 7961
procedure dimvect (n, v)
integer m, sz, mm;
m := n + dimbias;
for i := 0 to 7 do
begin
sz := dimsizes[i];
mm := m / sz;
v[i] := (m - mm * sz) - sz / 2;
m := mm
end;
end;
A dimension integer can be converted back to an 8-vector by adding dimbias to it and then extracting the values from each field. This algorithm is not needed for unit conversion, but is provided for completeness. The algorithm, shown in Fig. 4, has as arguments a dimension integer n and an 8-vector v; it stores the dimension values derived from n into v. This procedure uses truncated division to extract the biased value from each field of the integer encoding. The bias value, sz / 2, is then removed to yield the signed field value. Dividing by the field size is then used to bring the next field into the low-order position.
Our algorithm uses dimension integers, rather than dimension vectors, to check the correctness of requested unit conversions. Addition, subtraction, and comparison of dimension vectors are simulated by scalar addition, subtraction, and comparison of corresponding dimension integers. We can state the following theorems regarding dimension integers:
Theorem 1: If u and v are dimension vectors, then:
Theorem 2:
If u and v are dimension vectors, and dimint(u) = dimint(v),
and

then u = v.
Proof:  Suppose that dimint(u) = dimint(v) but u /= v.
Suppose that u_0 /= v_0. By the definition of dimint
and dimvals,

Since dimint(u) = dimint(v),


Therefore,

and by the triangle inequality,
,
but this is contrary to our assumptions that
and
.
Therefore, it must be the case that u_0 = v_0 .
By inductive repetition of this argument on the remaining elements
of uand v, it must be the case that u = v .
   Q.E.D.
These theorems show that checking the dimensions of unit conversions
by means of dimension integers is correct so long as the individual
dimension quantities are less than half the field sizes given in the
dimsizes vector. We justify the use of the integer encoding of
dimension vectors as follows. The powers of dimension quantities that
are found in units that are used in practice are generally small --
usually within the range +/- 4. If a field size of 20 is assigned
to length, time, and temperature, and a field size of 10 is assigned
to the others, the dimension vector will fit within a 32-bit integer.
The representation allows a power of

for each quantity. As long as each element of a dimension vector
is within this range, two dimension vectors are equal if and only if
their corresponding dimension integers are equal; furthermore, integer
addition and subtraction of dimension integers produce results equal
to the dimension integers of the vector sum and difference of the
corresponding dimension vectors. Our representation allows a power of
+/- 9 for length, time, and temperature, and a power of +/- 4
for mass, current, substance, luminosity, and money. This should be
quite adequate. We note that dimension vectors are used only in tests
of equality: unequal dimensions of source and goal units indicate an
incorrect conversion. An ``overflow'' from a field of the vector in
the integer representation will not cause an error to be indicated
when correct unit conversions are performed, because the two dimension
values will still be equal despite the overflow. Two unequal
dimension vectors will appear unequal, despite an overflow, unless the
incorrect dimension integer corresponds to a very different kind of
unit that has a dimension value that happens to be exactly equal; this
is most unlikely to happen accidentally. For example, if the user
attempts to convert a 20th power of length into a time, the system
will fail to detect an error. This is such an unlikely occurrence
that we consider the use of the more efficient integer encoding to be
justified. Note, however, that 8-vectors could be used for dimension
checking instead if desired.
Cunis [cunis92] describes an alternative representation of dimensions. He represents dimensions as a rational number in Lisp, i.e., as a ratio of integers that represent the positive and negative powers of dimensions. Each base quantity, such as length, is assigned a distinct small prime; the product of these, raised to the appropriate powers, forms the integer used in the ratio. This method requires somewhat more storage and computation than the method we present, and arithmetic overflow could be a problem if extended-precision arithmetic is not used; since Lisp provides extended-precision integers, this is not a problem in Lisp.
The dimension integer corresponding to a unit can be found as follows. The dimension of a constant is 0; this is also the case for units such as radian or nano. (Constants can be considered to have a dimension of unity, whose logarithmic representation is zero; such units are sometimes referred to as ``dimensionless'' [nist330].)  The dimension of a base quantity is given by the corresponding value in the vector dimvals; for example, the dimension of time is dimvals[1] or 20. The dimension integer of a product of units is the sum of their dimension integers (using ordinary 32-bit integer arithmetic), and the dimension of a quotient of units is the difference of their dimensions. Dimensions of common abstract units such as force are found by computing the dimension of their expansion in terms of base abstract units; for force this expansion is:
force = (/ (* mass length) (* time time))We also define an abstract unit dimensionless with dimension integer 0. When a unit symbol is defined to the system, its dimension is determined from the abstract unit specified for it; thus, in Fig. 2, meter receives the dimension of length. When a unit is defined by an expansion in terms of other units, the dimension of the expansion is verified by comparison with the dimension of its abstract unit.
When convert is called to convert one unit to another, it also computes the dimension of the source unit minus the dimension of the goal unit. If the difference is 0, the dimensions are the same, and the conversion is legitimate. A nonzero value indicates a difference in dimensions of the source and goal units.
If strict conversion is desired, any difference in dimension is treated as an error. In some cases, however, it may be desired to allow automatic conversion between mass and force or between mass and energy. Each of these conversions will produce a unique difference signature, which can be recognized; the conversions and corresponding dimension differences (source - goal) are shown in Fig. 5. If the difference matches the integer signature, the conversion factor should be multiplied by the additional factor shown in the table. For example, in converting kilograms (mass) to newtons (force),
>(convert 'kilogram 'newton) 9.8066499999999994the dimension of kilogram is 8000 and the dimension of newton is 7961, so the difference is 8000 - 7961 = 39 and the proper multiplier is 9.80665. Although these multipliers are expressed in SI units, the conversion works for all unit systems.
| Conversion | Vector | Integer | Factor |
| mass to weight | [ -1 2 0 0 0 0 0 0 ] | 39 | 9.80665 |
| weight to mass | [ 1 -2 0 0 0 0 0 0 ] | -39 | 1 / 9.80665 |
| mass to energy | [ -2 2 0 0 0 0 0 0 ] | 38 | 8.98755179E16 |
| energy to mass | [ 2 -2 0 0 0 0 0 0 ] | -38 | 1 / 8.98755179E16 |
Fig. 5: Dimension Conversions
Although most modern programming languages require specification of data types and feature compile-time type checking, units generally are not included as part of types. This is unfortunate, since use of incorrect units must be considered to be a type error. Some commonly used procedures have implicit requirements on the units of their arguments; for example, the system sin function may require that its argument be expressed in floating-point radians. Karr and Loveman [karr] advocated the inclusion of units in programming languages; although the ATLAS language [atlas] incorporates units, to our knowledge no widely-used programming language does so.
We have implemented the use of units in the GLISP language. GLISP (``Generic Lisp'') [novak:glisp,novak:gluser] is a high-level language with abstract data types that is compiled into Lisp (or into C by an additional translation step); the GLISP compiler is implemented in Common Lisp [steele-cltl]. GLISP has a data description language that can describe Lisp data structures or data structures in other languages. GLISP is described only briefly here; for more detail, see [novak:tose92] and [novak:glisp]. In the sections below, we describe both the language features needed to include units in a programming language and the compiler operations necessary to perform unit checking and conversion.
Karr and Loveman [karr] suggested that units be implemented as reserved words that could be used as multipliers in arithmetic expressions. Instead, we have implemented units as part of data types. The implementation of units within a programming language involves several different aspects:
The types usually used to describe numeric data, such as integer, real, etc., describe only the method of encoding numeric values. The units denoted by the numeric values are an independent issue. Therefore, both the numeric type and unit must be specified as part of a data type. We have adopted a simple syntax to specify the two together:
(units numeric-type unit )For example, a floating-point number denoting a quantity of meters would have the type:
(units real meters)A type specification of this form may be used wherever a numeric type specification such as real would otherwise be used.
Since the unit specification language allows constants to be included as part of a unit, it is possible to specify unusual units that might be used by hardware devices. For example, suppose that an optical shaft encoder provides the angular position of a shaft as an 8-bit integer, so that a circle is broken into 256 equal parts. This unit can be expressed as:
(units integer (/ (* 2 pi radians) 256))
If unit checking and conversion are to be performed, it is necessary to determine the unit of the result of an arithmetic operation. In general, it is necessary to create and perhaps simplify new symbolic unit descriptions. There are several classes of operations, which are handled differently.
The units produced by multiplication and division are easily derived by creating new units that symbolically multiply or divide, respectively, the source units. For example, if a quantity whose unit is (/ meter second) is multiplied by a quantity whose unit is second, the resulting unit is:
(* (/ meter second) second)This unit could be simplified to meter, but in most cases it is not necessary for a compiler to perform such simplification: usually only the numeric conversion factor and dimension of the unit are used, and these are not affected by redundancy in the unit specification.
Exponentiation to integer powers can be treated as multiplication or division. The function sqrt is a special case: the dimension vector of the argument unit must contain only multiples of 2, and it is necessary to produce an output unit that is ``half'' the input unit; this may require unit simplification, as discussed below.
There are differences of opinion regarding coercion of types by a compiler. Some languages allow coercion within an arithmetic expression; for example, if an integer and a real are added, the integer will be converted to real prior to the addition. Other languages allow coercion only across an assignment operator. The most strict languages have no coercion and treat type differences as errors. The same issues and arguments can be raised regarding automatic coercion of units, and the same implementation options are available. Note, however, that if no coercion is allowed, the language must furnish some construct to allow the programmer to invoke type conversion explicitly. We describe below how automatic coercion can be implemented if it is desired.
In the case of addition, subtraction, comparison, and assignment operations, the units of the two arguments must be the same if the operation is to be meaningful. If the units are unequal, an attempt is made to convert the unit of the right-hand argument to the unit of the left-hand argument. If a conversion factor fis not returned by the convert algorithm, the operation is illegitimate (e.g., an attempt to add kilograms to meters), and an error should be signaled by the compiler.
(gldefun t1 (x: (units real meters)
y: (units real kilograms))
x + y)
glisp error detected by GLCOERCEUNITS in function T1
Cannot apply op + to METERS and KILOGRAMS
in expression: (X + Y)
If the conversion factor f is 1.0, no compiler action is
needed; this can occur if the units are equivalent but unsimplified.
If the conversion factor is other than 1.0, a multiplication of
the right-hand operand by the conversion factor must be inserted by
the compiler. The following example illustrates how the GLISP compiler
inserts such a conversion for an addition operation:
(gldefun t2 (x: (units real meters)
y: (units real feet))
x + y)
>(glcp 't2) ; compile function t2
result type: (UNITS REAL METERS)
(LAMBDA (X Y)
(+ X (* 0.30480000000000002 Y)))
In this example, the variable y, which has units feet, is added to the value of the variable x, which has units meters. In this case, the compiler has inserted a multiplication by the appropriate factor to convert feet to meters prior to the addition. The result type is the type of the left-hand argument; this convention causes the type of a variable that is on the left-hand side of an assignment statement to take precedence.
In some cases, it may be known that an argument of a procedure is required to have certain units; in such cases, procedure arguments can be type-checked and coerced if needed. For example, a library sin function may require an argument in radians; if the unit of the existing data is as described above for the shaft encoder example, conversion will be required:
(gldefun t3 (x: (units integer (/ (* 2 pi radians)
256)))
(sin x))
result type: REAL
(LAMBDA (X)
(SIN (* 0.024543692606170259 X)))
We have not described any language mechanism to allow the programmer to explicitly convert units to a desired form. Such a conversion can be accomplished by assigning a value to a variable that has the desired unit. The units used for intermediate results within an arithmetic expression may be somewhat unusual, but will always be converted to a programmer-specified unit upon assignment to a variable. Conversion of units may generate extra multiplication operations; however, if the compiler performs constant folding [aho], these operations and their conversion factors can often be combined with other constants.
Human programmers usually write programs in such a way that intermediate results have reasonable units and reasonable numeric values. When automatic coercion of units is performed, it is possible that intermediate values may have unusual units and very large or very small numeric values. It is possible that compiler-generated unit conversions might cause a loss of accuracy compared to code written by humans that does the unit conversions explicitly. For this reason, it is advisable that automatic coercion of units be used only with floating-point representations with high accuracy, such as the 64-bit IEEE Standard representation. While a human programmer who is aware of unit conversions can always force the desired units to be used, a compiler that performs conversions automatically might allow a careless programmer to overlook a potential accuracy problem.
We have found that inclusion of units in programs tends to be ``all or nothing''. That is, if units are specified for some variables, then units need to be specified for other variables that appear in expressions with those variables to avoid type errors.
There may be a need to include physical constants, i.e., numbers with attached units, as part of a program. We have adopted a syntax that allows a numeric constant and unit to be packaged together:
'(q number unit )The quoted q form indicates a quantity with units. The type of the result is the type of the numeric constant combined with the specified unit. For example, the speed of light could be written:
'(q 2.99792458e8 (/ meter second))
There are some cases in which unit simplification is needed. For example, it is desirable to simplify a unit that describes the result of a function. An algorithm for unit simplification should be able to handle any combination of units, including mixtures of units from different systems. The form of a unit that is considered to be ``simplified'' may depend on the needs of the user: an electrical engineer might consider (* kilowatt hour) to be simplified, while a physicist might prefer joule. We present below an algorithm that works well in simplifying units for several commonly used systems of units; in addition, it allows some customization by specifying new unit systems.
A unit system is a set of base units that are by convention taken as dimensionally independent, and a set of derived units, formed from the base units by multiplication and division, that are by convention used with the unit system. Other units that are used for historical reasons may be associated with a unit system by defining them in terms of a numeric conversion factor and a combination of base units. We have implemented three unit systems: si (the Syst`eme International or SI system), cgs (centimeter-gram-second), and english (slug-foot-second). For each commonly used kind of unit (e.g., length, force, pressure, etc.) we define the standard unit for that kind of unit in each system (e.g., meter, newton, and pascal, respectively, for the si system).
Our algorithm for symbolic simplification of a unit is as follows:
As an example, we show how the algorithm simplifies the unit expression:
>(simplifyunit '(/ joule watt))The units joule and watt are defined in terms of base units:
joule = (/ (* KILOGRAM METER METER)
(* SECOND SECOND))
watt = (/ (* KILOGRAM METER METER)
(* SECOND SECOND SECOND))
The quotient of these two units is flattened as a quotient of two products:
(/ (* METER METER KILOGRAM SECOND SECOND SECOND) (* SECOND SECOND METER METER KILOGRAM))The two product lists are sorted:
(KILOGRAM METER METER SECOND SECOND SECOND) (KILOGRAM METER METER SECOND SECOND)Duplicated units in the two sorted lists are removed:
(SECOND) ()In this case, the result is just a single unit: SECOND.
This algorithm has the advantage of being universal: by completely breaking its input down to base units, canceling any duplicates, and then making a new unit from the result, it can accept any combination of units as input. It is also deterministic: it produces the same result for any way of stating the same unit. The algorithm is also reasonably fast. Since the algorithm works with a definition of a unit system in terms of a set of preferred units, it is possible for a user to define a modified unit system in which the user specifies the units that are preferred as the result of simplification.
Some examples of unit simplification are shown below.
>(simplifyunit '(/ meter foot))
3.280839895013123
>(simplifyunit '(/ joule watt))
SECOND
>(simplifyunit '(/ joule horsepower))
(* 0.0013410220896139906 SECOND)
>(simplifyunit '(/ (* kilogram meter)
(* second second)))
NEWTON
>(simplifyunit 'atm)
(* 101325.0 PASCAL)
>(simplifyunit 'atm 'english)
(* 14.695948775721259 POUNDS-PER-SQUARE-INCH)
>(simplifyunit '(/ (* amp second) volt))
FARAD
>(simplifyunit '(/ (* newton meter)
(* ampere second)))
VOLT
>(simplifyunit '(/ (* volt volt)
(* lbf (/ (* atto parsec)
hour))))
(* 26250.801011041247 OHM)
It was mentioned above that determining the type returned by the sqrt function requires making a unit that is ``half'' the input unit; for example, if the input unit is (* meter meter), the output unit would be meter. The process for determining the unit returned by sqrt is the same as the process of unit simplification described above, except for the last step. After the initial steps of simplification, the input unit will be represented by flat, sorted numerator and denominator lists containing base units of the same unit system, and possibly a numeric factor. Both lists must consist of adjacent pairs of identical units; otherwise, the input unit is in error. The output unit is determined by collecting every other member of the input lists (checking to make sure the alternate member is identical) and making a new unit from these lists and the square root of the numeric factor.
We have done research on the reuse of generic procedures [novak:kbse92] [novak:tose93]; a generic procedure is one that can be used for a variety of data types. When the arguments of a generic procedure include units, automatic checking and conversion of units are essential for correct reuse.
In the GLISP language [novak:glisp] [novak:tose92], it is not necessary to declare the type of every variable. When a variable is assigned a value, type inference is used to determine the type of the value, and the variable's type becomes the type of the value assigned to it. (Assignment of values of different types to the same variable will cause an error to be reported by the compiler.)  This feature is useful in writing generic procedures: it is only necessary to specify the main types that are used (often just the types of input parameters); other types can be derived from those types. Because the types of local variables are specified indirectly, a single generic procedure can be specialized for a variety of input types. This is especially useful in the case of types that include units.
Fig. 6: VIP: Calculation of Position of Aircraft from Radar Data
We have developed a system, called VIP [novak:caia94] (for View Interactive Programming) that generates programs from graphical connections of physical and mathematical models. A program is generated from equations associated with the physical models. Typically, only the types and units of inputs and outputs are specified; the units and types of intermediate values are derived by type and unit inference. This system is illustrated in the diagram shown in Fig. 6. The problem used as an example is a small but realistic numerical problem: the calculation of the position of an aircraft from data provided by an air search radar. We assume that the radar provides as input the time difference between transmission and return of the radar pulse, as well as the angle of the radar antenna at the time the return pulse is detected. When the radar illuminates the aircraft, we assume that the aircraft transponder transmits the identity of the aircraft and its altitude. The position and altitude of the radar station are assumed to be known. These items comprise the input data provided to the program. We assume that the units of measurement of the input data are externally specified (e.g., by hardware devices), so that the program is required to use the given units.
In creating the program, the user of VIP is able to select from a variety of predefined physical and mathematical models, constant values, and operators. Initially, the VIP display consists of a set of boxes representing the input data, and an output box. In our example, the user first decides to model the travel of the radar beam as an instance of uniform-motion. The user selects the Physics command, then kinematics from the Physics menu, then uniform-motion from the kinematics menu. The input value TIME-DIFF is connected to the time button t of the motion. Next, the user selects Constant and obtains the constant for the speed of light, denoted C, and connects it to the velocity v of the motion. The distance d of the motion then gives the total (out-and-back) distance from the radar to the aircraft; by dividing this distance by 2, the one-way distance is obtained. This distance is connected to the hypotenuse of a Geometry object, right-triangle. The difference between the altitude of the aircraft and the altitude of the radar is connected to the y of this triangle. The x of this triangle is then the distance to a point on the ground directly underneath the aircraft. This distance and the angle of the radar give a range and bearing to the aircraft from the radar; by connecting these to another right triangle, x and y offsets of the aircraft from the radar are obtained. These are collected to form a relative position vector, RELPOS, which is added to the radar's UTM (universal transverse mercator) coordinates to form the output.
While the process described above is rather lengthy when described in words, the time taken by an experienced user to create this program using VIP was less than two minutes. Note that this problem involves several instances of conversion of units of measurement, a physical constant, and algebraic manipulation of several equations; all of these were hidden and performed automatically. Fig. 7 shows the GLISP program produced by VIP. Fig. 8 shows the program after it has been compiled and mechanically translated into C.
(LAMBDA (TIME-DIFF: (UNITS INTEGER (* 100 NANOSECOND))
AIRCRAFT-ALTITUDE: (UNITS INTEGER (* 10 FOOT))
RADAR-ALTITUDE: (UNITS INTEGER (* 10 FOOT))
RADAR-ANGLE: (UNITS INTEGER (/ (* 2 PI RADIANS) 4096))
RADAR-UTM: UTM-CVECTOR)
(LET (OUT3 OUTPUT D2 OUT4 X3 Y2 X4 RELPOS:UTM-CVECTOR)
(OUT3 := (- AIRCRAFT-ALTITUDE RADAR-ALTITUDE))
(D2 := (* '(Q 2.997925E8 (/ M S)) TIME-DIFF))
(OUT4 := (/ D2 2))
(X3 := (SQRT (- (EXPT OUT4 2) (EXPT OUT3 2))))
(Y2 := (* X3 (SIN RADAR-ANGLE)))
(X4 := (* X3 (COS RADAR-ANGLE)))
(RELPOS := (A UTM-CVECTOR NORTH Y2 EAST X4))
(OUTPUT := (+ RELPOS RADAR-UTM))
OUTPUT))
Fig. 7: GLISP Program Generated by VIP for Radar Problem
CUTM *tqc (time_diff, aircraft_altitude, radar_altitude, radar_angle,
radar_utm)
long time_diff, aircraft_altitude, radar_altitude, radar_angle;
CUTM *radar_utm;
{
long out1;
CUTM *output;
float d1, out2, x1, y1, x2;
CUTM *relpos, *glvar1621;
out1 = aircraft_altitude - radar_altitude;
d1 = 2.997925E8 * time_diff;
out2 = d1 / 2;
x1 = sqrt(square(out2) - 9.2903039999999988E14 * lsquare(out1));
y1 = x1 * sin(0.0015339807878856412 * radar_angle);
x2 = x1 * cos(0.0015339807878856412 * radar_angle);
relpos = (CUTM*) malloc(sizeof(CUTM));
relpos->north = 1.0000000000000001E-7 * y1;
relpos->east = 1.0000000000000001E-7 * x2;
glvar1621 = (CUTM*) malloc(sizeof(CUTM));
glvar1621->east = relpos->east + radar_utm->east;
glvar1621->north = relpos->north + radar_utm->north;
output = glvar1621;
return output;
}
Fig. 8: Radar Program Compiled and Converted to C
In this example, unit conversion is a major part of the application program. However, the user only needed to specify the input units; all unit conversion and checking was performed automatically by the compiler, so that this source of programming difficulty and potential error was eliminated.
We have described algorithms for conversion of units, for compiler checking of units used in arithmetic operations and for coercing units when necessary, and for symbolic simplification of combinations of units. The unit conversion algorithms are as simple as possible: they require only one multiply or divide per unit for conversion, and one add or subtract per unit for dimension checking. These algorithms have been implemented in a compiler that allows units as part of data type specifications and that performs automatic unit checking and conversion.
Unit conversion is a problem that will not go away, even if the United States converts to the SI system. Workers in particular fields will continue to use units such as parsec or micron rather than meter, both because of tradition and because such units are convenient in size for the measurements typically used in practice. The compiler algorithms that we have described are relatively easy to implement, so that units could be incorporated into a variety of programming languages. These algorithms make it feasible to implement essentially all known units of measurement, so that users may use any units they find convenient. We agree with Karr and Loveman [karr] that scientific programming languages should support the use of units; we hope that presentation of these algorithms will encourage such a trend.
The ARPA Knowledge-Sharing Project [neches91] focuses on combining data from distributed databases and knowledge bases. The algorithms described in this paper can be used for conversion when these databases use different units.
We have included money as a dimension, since it is often important to convert units such as (/ dollar kilowatt-hour) that include monetary units. Of course, the conversion factors for different currencies are not constant; however, by updating the conversion factors periodically, useful approximate conversions can be obtained.
Our algorithms do not handle units that include additive constants; the common examples of such units are the Celsius and Fahrenheit temperature scales. Other features of the GLISP language can be used to handle these cases. Note that it is only possible to convert from a pure temperature unit to another temperature unit; it would be incorrect to multiply a non-absolute temperature by another unit. The kelvin and the degree Rankine are linearly related and can be converted by our algorithms.
Ruey-Juin Chang implemented an Analyst's Workbench [chang92] to aid in making analytical models. She included substance as an additional part of a quantity, along with numeric quantity and unit; for example, ``10 gallons of gasoline'' has gasoline as the substance. Engineering and scientific calculations often involve conversions that depend on the substance as well as the quantity and units. For example, ``10 gallons of gasoline'' can be converted into volume (10 gallons), mass, weight, energy, money, or energy equivalent in kilograms of anthracite coal. The algorithms presented in this paper might usefully be extended to include these kinds of conversions as well.
The unit conversion software described in this paper is available
free by anonymous ftp from
ftp.cs.utexas.edu/pub/novak/units/ .
It is written in Common Lisp. An on-line demonstration of the software,
which requires a workstation running X windows, is available on the
World Wide Web via
Computer equipment used in this research was
furnished by Hewlett Packard and IBM.
I thank the anonymous reviewers for their suggestions for improving
this paper.
[abramowitz] M. Abramowitz and I. A. Segun, Handbook of
Mathematical Functions, National Bureau of Standards, 1964;
New York: Dover, 1968.
[ackley]
R. A. Ackley, Physical Measurements and the International (SI)
System of Units, San Diego, CA: Technical Publications, 1970.
[aho]
A. Aho, R. Sethi, and J. Ullman, Compilers:
Principles, Techniques, and Tools, Addison-Wesley, 1982.
[ansi-ieee-268]
American National Standard for Metric Practice,
ANSI/IEEE Standard 268-1992, 1992.
[atlas]
IEEE Standard C/ATLAS, IEEE Standard 716-1982.
[bridgman]
P. W. Bridgman, Dimensional Analysis, Yale Univ. Press, 1922.
[chang92]
R.-J. Chang, ``Cliche-Based Modeling for Expert
Problem-Solving Systems'', Ph.D. diss., C.S. Dept.,
Univ. Texas at Austin, 1992.
[cunis92]
R. Cunis, ``A Package for Handling Units of Measure in Lisp'',
ACM Lisp Pointers, vol. 5, no. 2, 1992.
[gruber-olsen94]
T. R. Gruber and G. R. Olsen, ``An Ontology for Engineering
Mathematics'', Proc. Fourth Int. Conf. on
Principles of Knowledge Representation and Reasoning,
San Mateo, CA: Morgan Kaufmann, 1994.
[gehani77]
N. Gehani, ``Units of Measure as a Data Attribute'',
Computing Languages vol. 2, no. 3, pp. 93-111, 1977.
[herlihy]
M. Herlihy and B. Liskov, ``A Value Transmission Method for
Abstract Data Types'', ACM Trans. Programming Languages
Syst., vol. 4, no. 4, pp. 527-551, Oct. 1982.
[hilfinger88]
P. N. Hilfinger, ``An Ada Package for Dimensional Analysis''.
ACM Trans. Programming Languages Syst., vol. 10,
no. 2, pp. 189-203, 1988.
[horvath]
A. L. Horvath, Conversion Tables of Units in Science and
Engineering, New York: Elsevier, 1986.
[iso-standard]
Quantities and Units, ISO Standards Handbook, 3rd ed.,
Geneva, Switzerland: International Organization for Standardization,
1993.
[karr]
M. Karr and D. B. Loveman, ``Incorporation of Units into
Programming Languages'', Communications of the ACM,
vol. 21, no. 5, pp. 385-391, May 1978.
[lamb87]
D. Lamb, ``IDL: Sharing Intermediate Representations'',
ACM Trans. Programming Languages Syst. vol. 9, no. 3,
pp. 267-318, July 1987.
[neches91]
R. Neches et al., ``Enabling Technology for Knowledge Sharing'',
AI Magazine, vol. 12, no. 3, pp. 36-56, Fall 1991.
[nist330] ``The International System of Units (SI)'',
National Inst. Standards Tech. Special Publication 330, Washington, DC:
Superintendent of Documents, U.S. Govt. Printing Office, 1991.
[novak:glisp]
G. Novak, ``GLISP: A LISP-Based Programming System With Data
Abstraction'', AI Magazine, vol. 4, no. 3, pp. 37-47, Fall 1983.
[novak:gluser]
G. Novak, ``GLISP User's Manual,'' Tech. Report STAN-CS-82-895,
C.S. Dept., Stanford Univ., 1982; TR-83-25, A.I. Lab, C.S. Dept.,
Univ. of Texas at Austin.
[novak:tose92]
G. Novak, F. Hill, M. Wan, and B. Sayrs, ``Negotiated Interfaces
for Software Reuse'', IEEE Trans. Software Engineering,
vol. 18, no. 7, pp. 646-653, July 1992.
[novak:kbse92]
G. Novak, ``Software Reuse through View Type Clusters'',
Proc. 7th Knowledge-Based Software Eng. Conf., IEEE Press,
Sept. 1992, pp. 70-79.
[novak:tose93]
G. Novak, ``Software Reuse by Specialization of Generic Procedures
through Views'', submitted for publication, 1994.
[novak:caia94]
G. Novak, ``Generating Programs from Connections of Physical Models'',
Proc. 10th Conf. on Artificial Intelligence for Applications,
IEEE Computer Society Press, March 1994, pp. 224-230.
[rossini]
F. D. Rossini, Fundamental Measures and Constants for
Science and Technology, Cleveland, OH: CRC Press, 1974.
[schulz]
C. A. Schulz, ``Writing Applications for Uniform Operation on a
Mainframe or PC: A Metric Conversion Program'', APL Quote Quad,
vol. 20, no. 4, pp. 348-361, ACM, July 1990.
[semioli]
W. J. Semioli and P. B. Schubert,, Conversion Tables for
SI Metrication, New York: Industrial Press, 1974.
[steele-cltl]
Steele, G., Common Lisp, Digital Press, 1990.
[wildi]
T. Wildi, Metric Units and Conversion Charts: A
Metrication Handbook for Engineers, Technologists, and Scientists,
2nd ed., Piscataway, NJ: IEEE Press, 1995.
Acknowledgements
References
Gordon S. Novak Jr.