Huffman Howto

The Program You Develop

You're given classes to read and write individual bits-at-a-time. These are described below. You're also given a main program Huff.java that creates an instance of the non-functioning implementation of the IHuffProcessor interface named SimpleHuffProcessor. Choosing options from the GUI using this implementation as shown on the left, below, generates an error-dialog as shown on the right since none of the methods are currently implemented (they each throw an exception).

Compress Menu Option            Exception in simple version

When you write your methods in SimpleHuffProcessor to read or write bits you'll need to create either a BitInputStream or a BitOutputStream objects to read bits-at-a-time (or write them). Information and help on how to do this is given below, but you should probably scan this howto completely before beginning to design and implement your solution.


Compressing using Huffman Coding

The steps below summarize how compression works and provide some advice on coding.

  1. To compress a file, count how many times every bit-sequence occurs in the file. These counts are used to build weighted nodes that will be leaves in the Huffman tree. Note you are reading any and all files as integer values. It DOES NOT MATTER what encoding scheme the file was written with, we are simply reading any and all data as 8 bit integers. The method for reading bits-at-a-time from a BitInputStream returns an int, so using int variables makes sense. This means you should refer to the BITS_PER_WORD constant from the IHuffConstants interface and not hard code the value 8 throughout your code. Do not use any variables of type byte in your program. Use only int variables.
  2. From these counts build the Huffman tree. First create one node per value, weighted with the number of times the value occurs, and insert each node into a priority queue. Recall, you must insert the values into the tree in ascending order based on the chunk number (character ASCII code if the chunks represented characters) and that the priority queue must break ties fairly. (In the case of a tie the new item is placed behind items that have the same priority already present in the queue.)

  3. Choose the two minimal nodes, join these nodes together as children of a newly created node, and insert the newly created node into the priority queue (see notes from class). The first node dequeued from the priority tree must be the left child of the new node and the second node dequeued from the priority tree must be the right child of the new node. The new node's weight is the sum of the two nodes taken from the priority queue.

  4. Continue this process until only one node is left in the priority queue. This is the root of the Huffman tree.

  5. Create a table or map of 8-bit chunks (represented as an int value) to Huffman codings. The map of chunk-codings is formed by traversing the path from the root of the Huffman tree to each leaf. Each root-to-leaf path creates a chunk-coding for the value stored in the leaf. When going left in the tree append a zero to the path; when going right append a one. The map has the 8-bit int chunks as keys and the corresponding Huffman/chunk-coding String as the value associated with the key.

    The map can be an array of the appropriate size (257, due to the PSEUDO_EOF value) or you can use a Java Map instead of an array.

Once you've tested the code above (use the methods from the GUI to update and show counts and codes!) you'll be ready to create the compressed output file. To do this you'll read the input file a second time, but the GUI front-end does this for you when it calls the method IHuffProcessor.compress to do the compression. For each 8-bit chunk read, write the corresponding encoding of the 8-bit chunk (obtained from the map of encodings) to the compressed file. You write bits using a BitOutputStream object, you don't write Strings/chars. Instead, the obvious thing is to write one-bit, either a zero or a one, for each corresponding value '0' or '1' in the string that is the encoding. Of course you may store codes in any way you choose. They don't have to be stored in Strings and there are other approaches besides writing a bit at a time.

Note your codes for a given file must be the same as the ones I show in sample data.

Decompressing using Huffman Coding

To uncompress the file later, you must recreate the same Huffman tree that was used to compress. This tree might be stored directly in the compressed file (e.g., using a preorder traversal, STF), or it might be created from the frequencies of the 8-bit chunk from the original file, by storing those counts or frequencies in the header (SCF). In either case, this information must be coded and transmitted along with the compressed data (the tree/count data will be stored first in the compressed file, to be read by unhuff. There's more information below on storing/reading the header information to re-create the tree.

Once the tree has been recreated start at the root of the tree and read one bit at a time from the data in the file. When a 0 is read, go left in the tree. When a 1 is read go right in the tree. After the move if the new node is a leaf node then add that value to the output file and reset the node reference to the root of the tree.

Help With Coding

The sections below contain explanations and advice on different aspects of the code you'll write to compress and uncompress data.

Pseudo-EOF value

The operating system will buffer output, i.e., output to disk actually occurs when some internal buffer is full. In particular, it is not possible to write just a single bit-at-a-time to a file, all output is actually done in "chunks", e.g., it might be done in eight-bit chunks or 256-bit chunks. In any case, when you write 3 bits, then 2 bits, then 10 bits, all the bits are eventually written, but you can not be sure when they're written during the execution of your program.

Also, because of buffering, if all output is done in eight-bit chunks and your program writes exactly 61 bits explicitly, then 3 extra bits will be written so that the number of bits written is a multiple of eight. Because of the potential for the existence of these "extra" bits when reading one bit at a time, you cannot simply read bits until there are no more left since your program might then read the extra bits written due to buffering and add data not in the original file to the decompressed file. This means that when reading a compressed file, you should not use code like the loop below because the last few bits read may not have been written by your program, but rather as a result of buffering and writing bits in 8-bit chunks. (You don't have to worry about when the actual writing to the file takes place other than calling flush or close on your BitOutputStream when you are done.)

    boolean read = true;
    while (read) {
        int bit = input.readBits(1); // read one bit
        if (bit == -1)

            read = false; // done reading, GACK
        else

            // process the read bit
    }

To avoid this problem, there are two solutions: store the number of real bits in the header of the compressed file or use a pseudo-EOF value whose Huffman-coding is written to the compressed file. Use the pseudo-EOF technique in your program. All test cases will use the pseudo-EOF value technique. (Note, there are other possible solutions to this problem, but our specification is to use the PSEUDO_EOF value.)

When you read the compressed file your code stops when the encoding for the pseudo-EOF value is read. The pseudo code below shows how to read a compressed file using the pseudo-EOF technique. (Your actual code may vary depending on how you break up the problem.)

    // read 1 bit at a time and walk tree
    private int decode() throws IOException
        get ready to walk tree, start at root
        boolean done = false;
        while(!done)
            int bit = bitsIn.readBits(1);
            if(bit == -1)
                throw new IOException("Error reading compressed file. \n" +
                    "unexpected end of input. No PSEUDO_EOF value.");
            else
                move left or right in tree based on value of bit
                (move left if bit is 0, move right if bit is 1)
                if(reached a leaf node) {
                    if(val is the pseudo end of file value)
                        done = true;
                    else
                        write out value in leaf to output
                        get back to root of tree

When you're writing the compressed file be sure that the last bits written are the Huffman-coding bits that correspond to the pseudo-EOF char. You will have to write these bits explicitly. These bits will be recognized and used in the decompression process. This means that your decompression program will never actually run out of bits if it's processing a properly compressed file (you may need to think about this to really believe it). In other words, when decompressing you will read bits, traverse a tree, and eventually find a leaf-node representing some value. When the pseudo-EOF leaf is found, the program can terminate because all decompression is done. If reading a bit fails because there are no more bits (the bit-reading method returns -1) the compressed file is not well formed. Your program shall cope with files that are not well-formed, be sure to test for this, i.e., test unhuff with plain (uncompressed) files.

My program generates this error when such a file is found.

Reading file without a Pseudo-EOF character and the error generated by the processor.

In Huffman trees/tables you use in your programs, the pseudo-EOF value/chunk always has a count of one --- this should be done explicitly in the code that determines frequency counts. In other words, a pseudo-char EOF with number of occurrences (count) of 1 must be explicitly created.

In the file IHuffConstants the number of values counted is specified by ALPH_SIZE which has value 256. Although only 256 values can be represented by 8 bits, these values are between 0 and 255, inclusive. One value is used as the pseudo-EOF value -- it must be a value that cannot be represented with 8-bits, the smallest such value is 256 which requires 9 bits to represent. However, ideally your program should be able to work with n-bit chunks, not just 8-bit chunks. (In other words, use the constants in IHuffConstants instead of hard coding numbers. The numbers 8, 9, 32, 255, and 256 shouldn't appear anywhere in the code you write.)

Note, the IHuffProcessor interface extends the IHuffConstants interface and the SimpleHuffProcessor class implements the IHuffProcessor interface, so you have access to the constants in IHuffConstants without constantly writing IHuffContsants.WHAT_EVER.

Priority Queues

You're given a TreeNode that implements Comparable. You can use this class in storing weighted value/chunk objects in a priority queue to make a Huffman tree. You must write your own priority queue class because the Java priority queue breaks ties in an arbitrary manner. (Of course you may use pre-existing Java classes, such as lists.)

Creating a Map/Table from a Huffman-tree

To create a table or map of coded bit values for each 8-bit chunk you'll need to traverse the Huffman tree (e.g., inorder, preorder, etc.) making an entry in the map each time you reach a leaf. For example, if you reach a leaf that stores the 8-bit chunk 'C', following a path left-left-right-right-left, then an entry in the 'C'-th location of the map should be set to 00110. You'll need to make a decision about how to store the bit patterns in the map. One option is to use a string whose only characters are '0' and '1', the string represents the path from the root of the Huffman tree to a leaf -- and the value in the leaf has a Huffman coding represented by the root-to-leaf path.

This means you'll need to follow every root-to-leaf path in the Huffman tree, building the root-to-leaf path during the traversal. When you reach a leaf, the path is that leaf value's encoding. One way to do this is with a method that takes a TreeNode parameter and a String that represents the path to the node. Initially the string is empty "" and the node is the global root. When your code traverses left, a "0" is added to the path, and similarly a "1" is added when going right.

    ...
    ...
        recurse(n.getLeft(), path + "0");
        recurse(n.getRight(), path + "1");

This would be a method in the HuffmanCodeTree class and it could build a table / map that the tree either stores or returns.

Writing Bits in the Compressed File

A .hf file is a file compressed using your Huffman coding program. A .hf file has five parts. These are shown on separate lines for clarity, but in the actual file no newline characters are written. Recall the goal is to use as little space as possible.

Parts of a .hf file you must write out:

  1. MAGIC_NUMBER constant from IHuffConstants
  2. STORE_COUNTS or STORE_TREE constant from IHuffConstants indicating if the data to rebuild the tree / codes is in Standard Count Format (SCF) or Standard Tree Format (STF).
  3. The header data to rebuild tree / codes for chunks in either Standard Count Format or Standard Tree Format
  4. The actual compressed data. (paths through the HuffCode tree / codes for chunks from the original file)
  5. The code for the PSEUDO_EOF constant from IHuffConstants

There are 5 steps in writing a compressed file from the information your code determined and stored: the counts and encodings. All this code is called from the IHuffProcessor.compress method which is called from the GUI when the compress option from the GUI is selected. Selecting compress results in a call to the IHuffProcessor.preprocessCompress method, followed by a call to the IHuffProcessor.compress method which does the actual write to a file.

  1. Write the magic number at the beginning of the compressed file. You can access the IHuffConstants.MAGIC_NUMBER value either without the IHuffConstants modifier in your IHuffProcessor implementation (because the latter interface extends the former) or using the complete IHuffConstants.MAGIC_NUMBER identifier. When you uncompress you'll read this number to ensure you're reading a file your program compressed. Implement a program that can compress and uncompress Standard Count Format first. Your program must be able to uncompress files it creates. Your program must have the ability to process both kinds of standard headers, specified by magic numbers STORE_COUNTS and STORE_TREE in the IHuffConstants interface. (Start with the simple Standard Count Format and get that working.) There's also a value for custom headers, but that is not used in testing or grading. (And don't use it in your compression.). You write out the magic number as a BITS_PER_INT int.

    For example, in one version of my program, I have the following code:

     // write out the magic number
    out.writeBits(BITS_PER_INT, MAGIC_NUMBER);


    then in another part of the class (in another method)

    int magic = in.readBits(BITS_PER_INT);
    if (magic != MAGIC_NUMBER) {
        viewer.showError("Error reading compressed file. \n" +
                "File did not start with the huff magic number.");
        return -1;
    }

    In general, a file with the wrong magic number should not generate an error that halts the program, but should notify the user. For example, in my program the exception above ultimately causes the user to see what's shown below. This is because the exception is caught and the viewer's showError method called appropriately. Your code should at least print a message to the GUI, and ideally generate an error dialog as shown.

    Display of error when file does not start with the expected magic number for huffman files.
     
  2. Write the STORE_COUNTS or STORE_TREE constant from IHuffConstants indicating if the data to rebuild the tree / codes is in Standard Count Format (SCF) or Standard Tree Format (STF). These constants will be used by the decompressor to determine how the format of the following data that is used to rebuild the tree in order to decode the actual data. Recall, we are using specialized encodings that the receiving / decompressing computer does not know, so we must provide a way to determine the bespoke codes. You write out the header format constant as a BITS_PER_INT int.
     
  3. Write information after the store constant that allows the Huffman tree to be recreated. The simplest thing to do here is write ALPH_SIZE counts as int values (Standard Count Format), but you can also write the tree (Standard Tree Format). Your basic compression and un-compression code can process a header in standard count format or SCF. This is a header of 256 (ALPH_SIZE) counts, one 32-bit (BITS_PER_INT) int value for each 8-bit chunk, in order from 0-255. You don't need a count for pseudo-EOF because it's always one.

    In my by code using Standard Count Format, my header is written by code similar to the following. Note that BITS_PER_INT is 32 in Java. We are writing out the frequencies of the values in the original value so the decompressor can reconstruct the tree to decode the compressed data.

    for(int k=0; k < IHuffConstants.ALPH_SIZE; k++) {
        out.writeBits(BITS_PER_INT, myCounts[k]);
    }


    Note, for small files using Standard Count Format usually results in the "compressed" file being larger than the original file. You need larger files to get actual compression with the Standard Count Format. We use Standard Count Format because it is relatively easy to implement.

    This Standard Count Format header is read from a compressed file as follows (minus some possible error checking code), this doesn't do much, but shows how reading/writing the header are related.

    for(int k=0; k < IHuffConstants.ALPH_SIZE; k++) {
        int frequencyInOriginalFile = in.readBits(BITS_PER_INT);
        myCounts[k] = frequencyInOriginalFile;
    }


    An alternative to the count format is to write the tree instead of the counts using Standard Tree Format. Standard Tree Format consists of one 32-bit (BITS_PER_INT) value, an int indicating how many bits are in the tree representation followed by the bits of the tree as described below.

    Standard Tree Format uses a 0 or 1 bit to differentiate between internal nodes and leaves. The leaves must store values from the original file (in the general case using (IHuffConstants.BITS_PER_WORD + 1) bits because of the pseudo-eof value). Standard Tree Format in the Huff program/suite uses a pre-order traversal, a single zero-bit for internal nodes, a single one-bit for a leaf, and nine bits for the value stored in a leaf.

    Here is a VERY simple text based version of a tree and the expected bit sequence to encode the tree

    ...root
    ../....\
    65.....internal node
    ..... /.............\
    .....32.............75

     Bit representation of the above without the initial 32 bits indicating the number of bits in the tree representation. Spaces added for clarity only.

    0 1 001000001 0 1 000110010 1 001001011

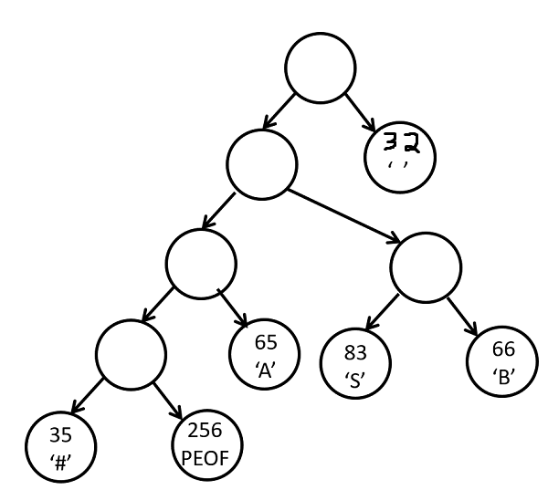
    For example, the sequence of 0's and 1's below represents the tree to the right(if you write the 0's and 1's the spaces wouldn't appear, the spaces are only to make the bits more readable to humans.)
     

     0 0 0 0 1 000100011 1 100000000 1 001000001
    0 1 001010011 1 001000010 1 000100000
    
     A Huffman Code Tree.

     

    The first four zeros indicate internal nodes. The first 1 indicates a leaf node that stores the value (value, not frequency) 35 which is the ASCII value for # if we were reading a text file. The next 1 also indicates a leaf node for the pseudo eof value which will have a value of 256. The rest of the data indicates the other leaf nodes and the one other internal node.

    So for the example above the actual Standard Tree Format header for the tree shown above would be as follows: (Spaces included for clarity. When written and read from a file no spaces are present.)

     00000000000000000000000001000001 0 0 0 0 1 000100011 1 100000000 1 001000001 0 1 001010011 1 001000010 1 000100000

    The first value is the 32 bits for the size of the tree. The size of the tree in bits is 65 (6 nodes with values and 11 total nodes). Write these bits using a standard pre-order traversal. Some algorithms for decoding the tree do not make use of this value, the size of the tree. It is up to you.

    In my code to read/write the header as a tree, the resulting header is much smaller than the standard count header.

    There are other ways of getting the data the decompressor needs to rebuild the tree, but for the assignment implement the count format and tree format as described.
     

  4. The actual compressed data. Write the bits needed to encode each value of the input file. For example, if the coding for 'a' (or 0110 0001) is "01011" then your code will have to write 5 bits, in the order 0, 1, 0, 1, 1 every time the program is compressing/encoding the chunk 'a' / 0110 001 You'll re-read the file being compressed, look up each chunk/value's encoding and write a 0 or 1 bit for each '0' or '1' character in the encoding.
     

  5. Write the code you generated for PSEUDO_EOF constant from IHuffConstants. (Do not write the PSEUDO_EOF constant itself. Write out its code you generated for the PSEUDO_EOF value from your Huffman Code Tree for this particular file.)

Implementing and Debugging

It's a good idea to create more than one class to help manage the complexity in these programs and to add methods/code incrementally after each has been tested. Because the same data structures need to be used to ensure that a file compressed using your huff algorithm can be decompressed, you should be able to share several parts of the implementation. Use classes to exploit this similarity.

Testing your Program

Write your own tests and see what happens with small files.

The  expected frequency and codes for the small text file (Eerie eyes seen near lake.) and the 2008 CIA Factbook are useful in checking your work. The codes for the small text file are different than the example from the class slides due to the period value being inserted out of order in the slides and the presence of the PSEUDO EOF value.

You can also use the provided Diff.java class to compare two files. (it is in the HuffmanStarter.jar file) Your compressed files for the small text file and the CIA Factbook must match the provided samples created using the standard count format.. (smallText.txt.hf and ciaFactbook2008.txt.hf)

Debugging Code

Designing debugging functions as part of the original program will make the program development go more quickly since you will be able to verify that pieces of the program, or certain classes, work properly. Building in the debugging scaffolding from the start will make it much easier to test and develop your program. When testing, use small examples of test files maybe even as simple as "Eerie eyes seen near lake." that help you verify that your program and classes are functioning as intended. Use the update, showMessage, and showError messages from the HuffViewer class to see what is going on.

You might want to write encoding bits out first as strings or printable int values rather than as raw bits of zeros and ones which won't be readable except to other computer programs. A Compress class, for example, could support printAscii functions and printBits to print in human readable or machine readable formats.

I cannot stress enough how important it is to develop your program a few steps at a time. At each step, you should have a functioning program, although it may not do everything the first time it's run. By developing in stages, you may find it easier to isolate bugs and you will be more likely to get a program working faster. In other words, do not write hundreds of lines of code before testing. Testing rocks. Debugging stinks.

Using BitInputStream

In order to read and write in a bit-at-a-time manner, two classes are provided BitInputStream and BitOutputStream.

Bit read/write subprograms

To see how the readBits routine works, consider the following code segment.  It reads BITS_PER_WORD bits at a time (which is 8 bits as defined in IHuffConstants) and echoes what is read.

BitInputStream bits = new BitInputStream(someInputStreamObject); // wrap the input stream I am given in a bit input stream
int inbits = bits.readBits(IHuffConstants.BITS_PER_WORD));

while ((inbits != -1) {
    System.out.println(inbits); // prints the value we read in as an int regardless of what it was suppose to represent

    inbits =  bits.readBits(IHuffConstants.BITS_PER_WORD));
}

Note that executing the Java statement System.out.print('7') results in 16 bits being written because a Java char uses 16 bits (the 16 bits correspond to the character '7'). Executing System.out.println(7). results in 32 bits being written because a Java int uses 32 bits. Executing obs.writeBits(3,7) results in 3 bits being written (to the BitOutputStream obs) --- all the bits are 1 because the number 7 is represented in base two by 0000 0000 0000 0000 0000 0000 0000 0111. (only the 3 rightmost bits are written.) When writing out constants and counts to the compressed file use IHuffConstants.BITS_PER_INT which is 32. When writing out the '1's and '0's from the new code for chunks you will be writing single bits. When writing to the uncompressed file you will be writing out IHuffConstants.BITS_PER_WORD.

When using writeBits to write a specified number of bits, some bits may not be written immediately because of buffering. To ensure that all bits are written, the last bits must be explicitly flushed. The function flush must be called either explicitly or by calling close.

Although readBits can be called to read a single bit at a time (by setting the parameter to 1), the return value from the method is an int.

InputStream objects

In Java, it's simple to construct one input stream from another. The Viewer/GUI code that drives the model will send an InputStream object to the model for readable-files, it will also send an OutputStream for writeable-files. The client/model code you write will need to wrap this stream in an appropriate BitInputStream or BitOutputStream object.

    public int uncompress(InputStream in, OutputStream out)
        ...
        BitInputStream bis = new BitInputStream(in);
        ...

Of course exceptions may need to be caught or rethrown. For input, you'll need to always create a BitInputStream object to read chunks or bits from. For the output stream, you may need to create a BitOutputStream to write individual bits, so you should create such a stream -- for uncompressing it's possible to just write without creating a BitOutputStream using the OutputStream.write method, but you'll find it simpler to use BitOutputStream.writeBits method.

Forcing Compression

If compressing a file results in a file larger than the file being compressed then no compressed file should be created and a message should be shown indicating that this is the case. Here's a screen shot from what happens in my program.

Error message shown in GUI by processor when compressed file would be larger that original and force compression option not seleceted.

You can choose a force compression option from the GUI/Options menu. If this is chosen/checked, the value of the third parameter to IHuffProcessor.compress is true, and your code should "compress" a file even though the resulting file will be bigger. Otherwise (force is false), if the compressed file is bigger, your program should not compress and should generate an error such as the one shown above.

Exceptions

The readBits(int howMany) method from the BitInputStream class and the writeBits(int howManyBits, int value) method from the BitOutputStream class both have the potential to throw IOExceptions. IOExceptions are a standard Java exception. An IOException indicates something "bad" or "unexpected" has happened while trying to do input or output. There are two ways to deal with these exceptions in your program.

  1. Pass the buck and when reading bits, check every read to see if the value returned is -1. The readBits method returns -1 if there were fewer bits than requested in the stream (file) the reader was connected to. If this occurs you code needs to stop what it is doing, show an error message via the viewer and return. This can lead to pretty gacky code such as this (taking from by decoder / uncompress / unhuff class):

     // read 1 bit at a time and walk tree
    private int decode() throws IOException {
        // get ready to walk tree
        boolean done = false;
        while(!done) {
            int bit = bitsIn.readBits(1);
            if(bit == -1)
                throw new IOException("Error reading compressed file. \n" +
                        "unexpected end of input. No PSEUDO_EOF value.");
                // let someone else who knows more about the problem deal with it.
            else
                 ...


    The code tries to read a bit and if it can't then it shows an error and stops what it is doing. Note the method has the clause throws IOException.  This is necessary because the call the readBits method has the same clause. IOException is a type of exception referred to as a checked exception. This means the compiler checks to see that you are doing something about the exception if it occurs. Checked exceptions indicate something bad has happened that is beyond the programmers control. For example a file being removed before we are done reading from it. The other kind of exception that you are more familiar with are referred to as unchecked or runtime exceptions. These are things like NullPointerException, ArrayIndexOutOfBoundsException, and IllegalArgumentException. These indicate a logic error on the programmers part that is entirely preventable. The compiler does not check to see if you handle or deal with unchecked exceptions because they are never suppose to occur.

    Checked exceptions are different. The compiler wants to see you have at least thought about the problem. In the fist case we have thought about it and decided it is someone else's problem. In this case whoever called our method. If you trace back to the HuffView class you will find the code that calls the preprocessCompress, compress, and uncompress methods has code to deal with any IOExceptions those methods throw.

    When an exception is thrown the regular program logic stops and the exception handling mechanism takes over. This is part of the runtime system. The exception handling mechanism will back out of methods on the program stack until it finds error handling code (a catch block) which is executed. The code does not jump back to where the exception occurred.
     

  2. The alternative to passing the buck is dealing with the exception locally via a try - catch block. This is Java syntax that tries to execute code that could generate a checked exception (the try block) and then has code to deal with the exception if it occurs (the catch block).

     // read 1 bit at a time and walk tree
    private int decode() {
        // get ready to walk tree
        boolean done = false;
        try {
            while(!done) {
                int bit = bitsIn.readBits(1);
                if(bit == -1) {
                    viewer.showError("Error reading compressed file. \n" +
                        "unexpected end of input. No PSEUDO_EOF value.");
                    done = true;
                    result = -1;
                }
            ...
        } catch(IOException e) {
            // code to deal with exception
        }

    The downside of this approach on this assignment is the exception should be dealt with by the HuffViewer, so it is appropriate to pass the buck in this case. I recommend taking the first approach on the assignment.