Dijkstra's Shortest Path Algorithm

For the above graph, apply Dijkstra's shortest path algorithm at starting vertex 1 and find the shortest path to all other vertices. Display your answer in tabular form.



For the above graph, apply Dijkstra's shortest path algorithm at starting vertex P and find the shortest path to all other vertices. Display your answer in tabular form.



Minimum Spanning Tree

For the above graph, create the minimum spanning tree using Kruskal's algorithm.


For the above graph, create the minimum spanning tree using Prim's algorithm.



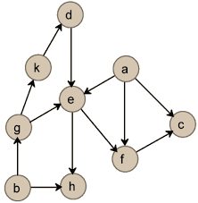
Graph Traversals

For the above graph, do a depth first traversal. We normally say order does not matter. But in this case go through the adjacent vertices in alphabetical order. The starting vertex is A.


For the above graph, do a breadth first traversal. We normally say order does not matter. But in this case go through the adjacent vertices in alphabetical order. The starting vertex is A.


Adjacency Matrix

For the above graph create the adjacency matrix.



Topological Sort





For the above graphs do a topological sort.