Topological Sort ( Due 21 Apr 2023 )

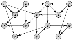
In this assignment use the graph as given in this gif file called dag.gif. You will complete the topo.txt file that will be used as input for your program. The first couple of edges are given.

The first line in topo.txt will be a single integer v. This number will denote the number of vertices to follow. The next v lines will be the labels for the vertices in alphabetical order. There will be one label to a line. The labels are unique. The next line after the labels for vertices will be a single number e. This number will denote the number of edges to follow. There will be one edge per line. Each edge will be of the form - fromVertex and toVertex. Assign a default weight of 1 to each edge.

Here is the outline of the code that we developed in class that you will be modifying. You will use topo.txt instead of graph.txt as your input file. You can add an Edge class if you want to. You may use any of the functions that you wrote for graph traversal in your last assignment. You can add more functions as needed. You will first test if the given Graph does not contain a cycle and then do a topological sort on that Graph. For your output, the vertices on a given level must be printed in alphabetical order.

class Graph (object):
  # determine if a directed graph has a cycle
  # this function should return a boolean and not print the result
  def has_cycle (self):

  # return a list of vertices after a topological sort
  # this function should not print the list
  def toposort (self):

def main():
  # create a Graph object
  theGraph = Graph()

  # test if a directed graph has a cycle
  if (theGraph.has_cycle()):
    print ("The Graph has a cycle.")
  else:
    print ("The Graph does not have a cycle.")

  # test topological sort
  if (not theGraph.has_cycle()):
    vertex_list = theGraph.toposort()
    print ("\nList of vertices after toposort")
	print (vertex_list)

main()

For the data file given, your output will look as follows:

The Graph does not have a cycle.

List of vertices after toposort
['m', 'n', 'p', 'o', 'q', 's', 'r', 'u', 'y', 't', 'v', 'w', 'x', 'z']

For this assignment you may work with a partner. Both of you must read the paper on Pair Programming. .

The file that you will be uploading will be called TopoSort.py. We are looking for clean and structured design. The file will have a header of the following form:

#  File: TopoSort.py

#  Description:

#  Student Name:

#  Student UT EID:

#  Partner Name:

#  Partner UT EID:

#  Course Name: CS 313E

#  Unique Number: 

#  Date Created:

#  Date Last Modified:

If you are working with a partner only one of you will be submitting your program but make sure that you have your partner's name and eid in your program. If you are working alone, then remove the two lines that has the partner's name and eid in the header.

Use the Canvas system to submit your TopoSort.py file. We should receive your work by 11 PM on Friday, 21 Apr 2023. There will be substantial penalties if you do not adhere to the guidelines. Remember Python is case sensitive. The name of your file must match exactly what we have specified.